header
What we covered
What is assigned and what is due.
Examples for your reference

Week 1

Course overview & the scientific method.

Motion in one dimension & the equations of motion.

Displacement, velocity and acceleration.

The motion of falling objects

Copernicus and the heliocentric view

Notes: [1a] [1b], [2a] [2b], [3a] [3b]

Homework sheet for unit 1 assigned.

My favorite physicist.... In assigned pairs you will research one physicist from the past 400 years. You must explain his or her contribution to physics and also why you chose that person. Make 2-5 pages of notes, and scan them to PhotoShop. Make a page that shows how you use the most important information only and print it. You will then prepare a 5 minute Powerpoint presentation, which is due on Friday.

Mirror this page on your DP. Create your own header. Link to completed assignments in column 2. Document what you learned in column 3 (we will call this "digital notes")

Copy of the course syllabus

Timeline of events 1450 -1700

Worked example of velocity and distance.

Worked example of velocity and acceleration.

Worked example of distance and acceleration.

Worked example of a falling body.

Equations of motion PowerPoint slides

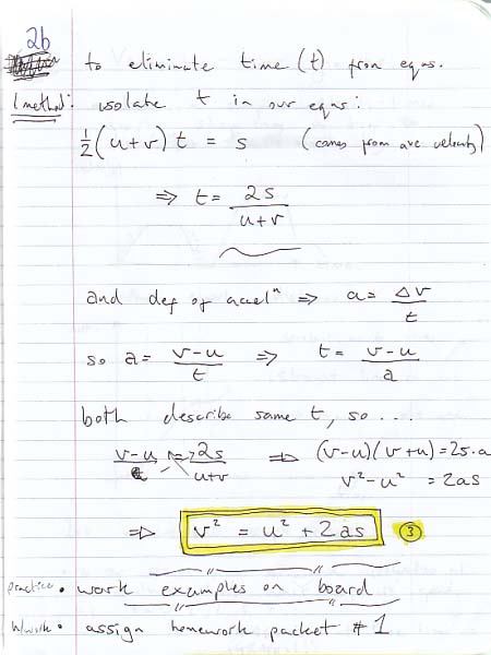
Notes images [1] [2] [3] [4]

Week 2 (no school Monday)

Vectors - splitting things into components.

Motion in 2 dimensions: projectile motion

Orbits & planetary motion

Galileo Galilei & Johannes Kepler

Notes: [1a] , [1b], [2a], [2b], [3a], [3b]

Read this article from Zen & The Art of Motorcycle Maintenance. Write a summary and response. Due Friday

Link all completed work to your DP. Update your learning journal with "digital notes"

email me the link (due by mid-day Friday)

 

Worked example involving vectors

Worked example with Keplers Laws

Worked example of components

Dropping objects on the moon.

Projectile Motion PowerPoint

Week 3

Newton's law of Gravitation

Newton's 1st Law (The law of inertia)

Newton's 2nd Law (F = ma)

Newton's 3rd Law (action and reaction)

Review for exam.

Notes: [1], [2]

Homework sheet on unit 1 is due Friday. Write up your answers electronically and link to the document from your learning journal.

Choose an invention from the time period 1550 - 1800 for your first project. You must be able to explain how the device works, and build a model of it, so choose carefully. Research your invention, and make careful, detailed notes.

Complete your digital notes for the first 3 weeks and email me the link by 11:59 PM on Thurs.

Worked example 1

Worked example 2

Worked example with graphs

Someone else's PowerPoint on projectiles

Professor Walter Lewin of MIT has a video lecture on Newton's laws.

The effect of a small force on a large object is mentioned in this article.

QUIZ NUMBER ONE WILL TAKE PLACE ON FRIDAY OF WEEK 3 (SEPTEMBER 12, 2008)

Week 4

Forms of energy in Physics

Kinetic Energy equation

Potential Energy equation

Isaac Newton

Notes: [1], [2]

Make at least 4 visuals for how you will explain how your device works. Make sure that you include several "styles" (cartoon, technical, mathematical, etc...)

Put visuals and notes together into 11 x 17 document in PhotoShop (Illuminated notes)

Illuminated notes poster 1st draft due Friday

Some important trig values

Projects can be seen HERE!

Week 5

Conservation of energy

Work and Power

Conservation of Momentum

Robert Hooke, Robert Boyle

Notes: [1], [2], [3], [4], [Hooke]

Homework sheet for unit 2: page 1, page 2

More on digital notes:

Digital notes are used to keep a permanent record of your learning in class. You should update them at least every week.

You may copy and paste any interesting pictures and tables from the Web.

You may NOT copy and paste text!!

Final draft of Illuminated Notes must be printed by the end of week 5.

Design for your installation, plus a proof of principle model due by wednesday of week 6

Homework sheet 2 due Friday of week 6

Complete your digital notes for weeks 4, 5 & 6 and email me the link before class on Friday.

PowerPoint of Work and Energy

Another Work & Energy PowerPoint

Week 6

Elastic and inelastic collisions

Forms of energy dissipation (friction)

Notes: [1]

Worked example involving power

Worked example involving vectors

QUIZ NUMBER TWO WILL TAKE PLACE ON FRIDAY OF WEEK 6 (OCTOBER 03, 2008)

Week 7

Waves and wave phenomenon

Types of wave phenomenon

Light and the Electromagnetic spectrum

Notes: [1] [2] [3]

Wave discovery lab (slinky)

Electomagnetic waves in-class worksheet

Shadows and reflection of Light homework

Project Check-in 1

 

Week 8

Refraction & refractive index.

Total Internal Reflection (TIR) & fiber optics.

Notes: [1] [2] [3] [4] [5] [6]

Refraction Homework Sheet

Project Check-in 2.

 

Animation showing the bending of wavefronts due to light-speed change in glass

This Flash Applet shows Snells Law & TIR

Some images related to refraction and dispersion can be found here, but not all are correct!!

Week 9

Concave and convex lenses, the telescope.

Notes: [1] [2]

Albert Einstein

Lenses Homework sheet.

Progress on your project will be evaluated Wednesday. Make sure you can show your personal contibution to what has been done.

Light Quiz on Friday. Topics from weeks 7 - 9.

DP check #3. Update your DP. Post all completed project work in column 3. Include your plans for week 10.

Thin lens application

Fill out THIS SHEET in class to show where images are formed in a double-convex lens. (solution)

Review sheet for unit 3.

QUIZ NUMBER THREE WILL TAKE PLACE ON FRIDAY OF WEEK 9 (OCTOBER 24, 2008)

Week 10

Optics 2

Traveling and standing waves

Interference & Diffraction.

 

Niels Bohr

Project is due week 11. Finalize any science this week. Your project should be in working order by the end of this week!! Work on graphics and explanation.

 

 

Week 11

Pulses and dispersion.

Light waves, color, IR and UV light

Fluorescence and optical transitions in atoms

Edwin Hubble

Project due this week. You will need to have your appproved project displayed THIS WEEK. Bonus points added for projects completed early. Penalty points deducted for projects that are not complete by Friday.  

Week 12

 

Richard Feynman

Merchant of Venice groups assigned this week

Optics Lab experiments 1 - 3.

 
Week 13    
Week 14    

Week 15

   
PHYSICS FINAL WILL TAKE PLACE ON FRIDAY OF WEEK 15. THIS EXAM IS NOT ELIGIBLE FOR DROP.
SENIOR EXHIBITION IS DECEMBER 11. SAVE THE DATE - ALL STUDENTS MUST ATTEND.